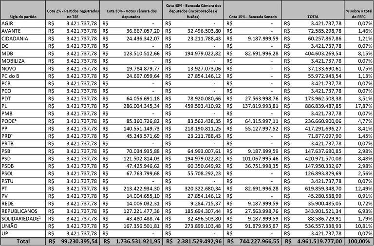
O Tribunal Superior Eleitoral (TSE) divulgou, nesta segunda-feira (17), os valores que cada partido vai receber do Fundo Especial de Financiamento de Campanha (FEFC), seguindo o prazo fixado pelo calendário eleitoral. Ao todo, 29 partidos receberão R$ 4.961.519.777,00, valor estabelecido pelo Congresso Nacional para gastos com a corrida eleitoral deste ano. Os critérios da divisão...
Ler notícia completa no site do autor ↗️Saiba quanto cada partido receberá de Fundo Eleitoral
Publicado em: Por: Maranhão ta On