ATENÇÃO: Esta é uma versão alpha do Ponja.
Todas as análises estão em fase de testes e aprendizado, portanto podem conter erros de avaliação.
Para fortalecer as políticas estaduais de educação nos povos indígenas do Maranhão, o governador do Estado, Carlos Brandão, assinou medida…
Em reunião realizada em São Luís na tarde de ontem, políticos que integram o campo da oposição no município de…
Reconhecido como um dos mais organizados da temporada junina, o Arraial da Assembleia será aberto nesta quinta-feira (20), às 17h30,…
A Polícia Civil do Maranhão deu cumprimento a mais um mandado de prisão, na tarde desta segunda-feira (17), contra um…
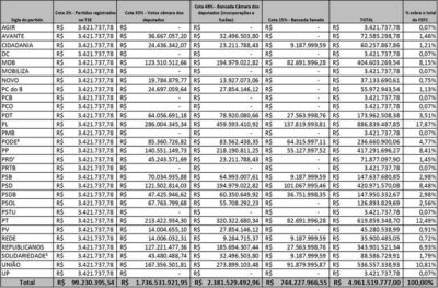
O Tribunal Superior Eleitoral (TSE) divulgou, nesta segunda-feira (17), os valores que cada partido vai receber do Fundo Especial de…
A prefeita Vanderly Monteles (PC do B), do município de Anapurus, distante 283 km da capital São Luís, foi flagrada…
Danilo José de Castro Ferreira tomou posse no cargo de procurador-geral de justiça do Ministério Público do Maranhão, em sessão…
A Polícia Civil do Maranhão intensificou as investigações no sentido de tentar elucidar, com a maior brevidade possível, o assassinato…
Em um marco significativo para a educação do Maranhão, o Supremo Tribunal Federal (STF) homologou acordo extrajudicial entre o Governo…